SEQ - a self-contained sequential programmer for children to control LEGO robots



Inspired by Seymour Papert's Turtle, Logo, LEGO Control Lab, Big Track, & control technology, designed & prototyped by Paul Spurgeon in 1987, SEQ led to the formation of ProCom, a one-man company based at home in Tavistock. Hand-assembled SEQ controllers were accompanied by a pack of materials including a SEQ Teachers Guide and SEQ Manual. Production started in 1988 and approximately 700 units were sold, mostly to UK schools & LEAs. The demise of LEGO 4.5 volt motors, and release of the new LEGO Mindstorms Robotics Invention System RCX reduced demand: production ceased in 1994.








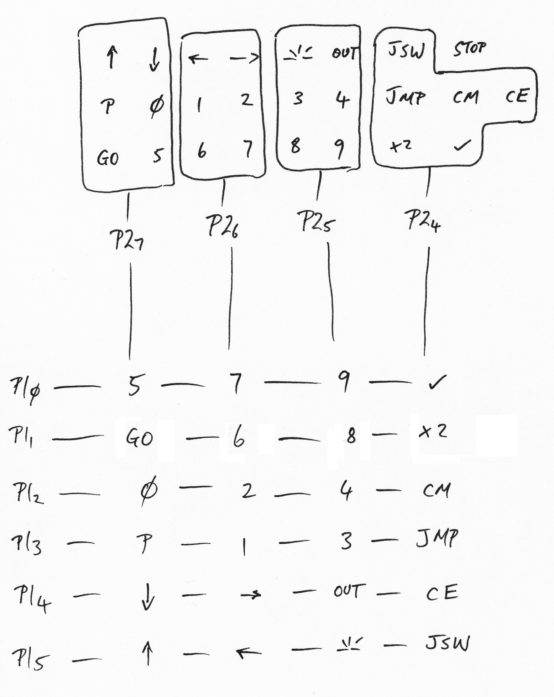
Hardware is based around an Intel 8039 CPU with 2716 ROM, a pair of L293 ICs driving outputs, and a LM324 for inputs. The keyboard is scanned using a 6x4 matrix, and drives a simple software state machine. Design challenges included construction of low-cost sockets for LEGO plugs, and a reliable membrane keyboard. Two double-sided PCBs are used. Software is written in 8048 assembler. Each SEQ controller has a unique serial number embedded in ROM.





Prototype had sockets along each side of the case. Production SEQs are mounted in a case with small bolts at each corner underneath the membrane keyboard.